场致电子发射是导致真空击穿与绝缘失效的主要起始机制,场发射理论是高性能电气装备、微纳电子器件等的真空绝缘设计与应用的基础。“千里之堤,溃于蚁穴”——不论是高压电气装备还是微纳电子器件,其真空绝缘击穿大多起始于微纳尺度结构的场致电子发射,强电场驱动电极表面发射的电子既是绝缘间隙初始电子的主要来源,又直接影响放电等离子体通道的形成与演化过程,最终导致真空击穿的发生,严重影响装备与器件的电气绝缘可靠性。然而,当介电系统或电极的物理尺度在纳米尺度范围时,场致电子发射除了由量子隧穿效应决定,还会显著受到空间电荷量子效应、电极尺寸效应等的影响,使得经典理论预测与实验结果出现偏差,无法用经典的场发射方程来描述纳米尺度的场发射行为。因此,建立普适性的纳米尺度场发射理论框架至关重要。

图1 场发射特征参量与R/d的关系

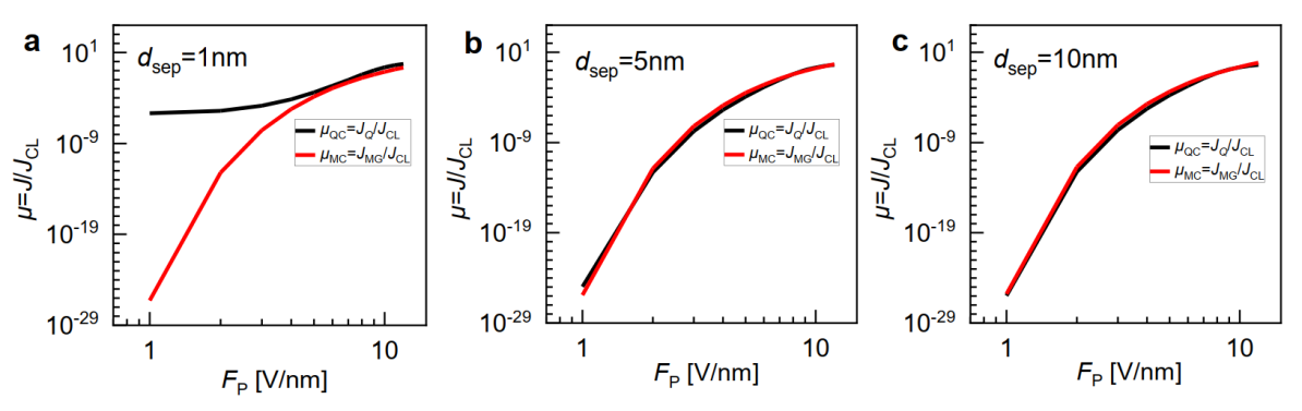
图2 经典场发射MG理论与最新场发射自洽量子模型的对比

图3 纳米尺度几何因子与R/d定量关系的提出
针对上述挑战,西安交通大学电气工程学院、电工材料电气绝缘全国重点实验室孟国栋教授团队在前期成果(Physics of Plasmas 31 (4) ,040502, 2024; Physical Review Letters 132 (17), 176201, 2024)的基础上,联合新加坡科技设计大学Lay Kee Ang教授团队,创新性地提出了基于透射电子显微镜的原位击穿与表征技术,系统实验研究了纳米钨电极结构(尖端半径2-190nm)在真空纳米间隙(5-100nm)的本征场致电子发射特性。首次揭示了场电子发射特征参量(开启电压、场增强因子、场增强因子与开启电压乘积等)与电极尖端曲率半径/间隙距离比值(R/d)之间的普适性关系(图1);通过对比经典的Murphy-Good场发射理论以及自洽量子模型,明确了由发射极几何形状效应引起的量子隧穿效应而非空间电荷量子效应在纳米尺度场发射中具有决定性作用(图2);最终引入与R/d强相关的几何因子kMG准确描述了纳米尺度场发射的几何形状效应,成功修正了场发射理论在纳米尺度范围存在的计算偏差,提出了适用于纳米尺度场致电子发射的普适性经验方程(图3)。研究工作首次结合原位实验和理论分析揭示了场致电子发射的纳米尺度几何形状效应,填补了经典场发射理论在纳米尺度范围的空白,为推动高性能电气装备、微纳电子器件的绝缘设计与性能优化提供了重要的理论支撑。

该研究成果以《揭示金属纳米尖端在纳米间隙中场发射特性的普适经验方程》(Uncovering a widely applicable empirical formula for field emission characteristics of metallic nanotips in nanogaps)为题在国际知名期刊《自然·通讯》(Nature Communications)发表,电气工程学院博士生李伊濛为论文第一作者,电气工程学院孟国栋教授为论文通讯作者,新加坡科技设计大学Ang Lay Kee教授为共同通讯作者。研究工作得到了国家自然科学基金面上项目、中央高校基本科研业务费、新加坡A*STAR AME IRG项目(M23M6c0102)、中国国家留学基金委项目等资助。西安交通大学微纳尺度材料行为研究中心(CAMP-Nano)在电镜原位测试方面,安徽泽攸科技有限公司在电镜样品杆方面对本研究给予了大力支持。
孟国栋教授现为西安交大“微纳尺度绝缘与放电”青年创新团队负责人,团队长期从事电气绝缘理论与应用、先进传感与电力设备状态检测技术研究。目前已在国际知名学术期刊发表相关研究论文70余篇,申请发明专利10余项。
论文链接:https://doi.org/10.1038/s41467-025-60607-6
孟国栋教授课题组主页:http://gr.xjtu.edu.cn/web/gdmeng